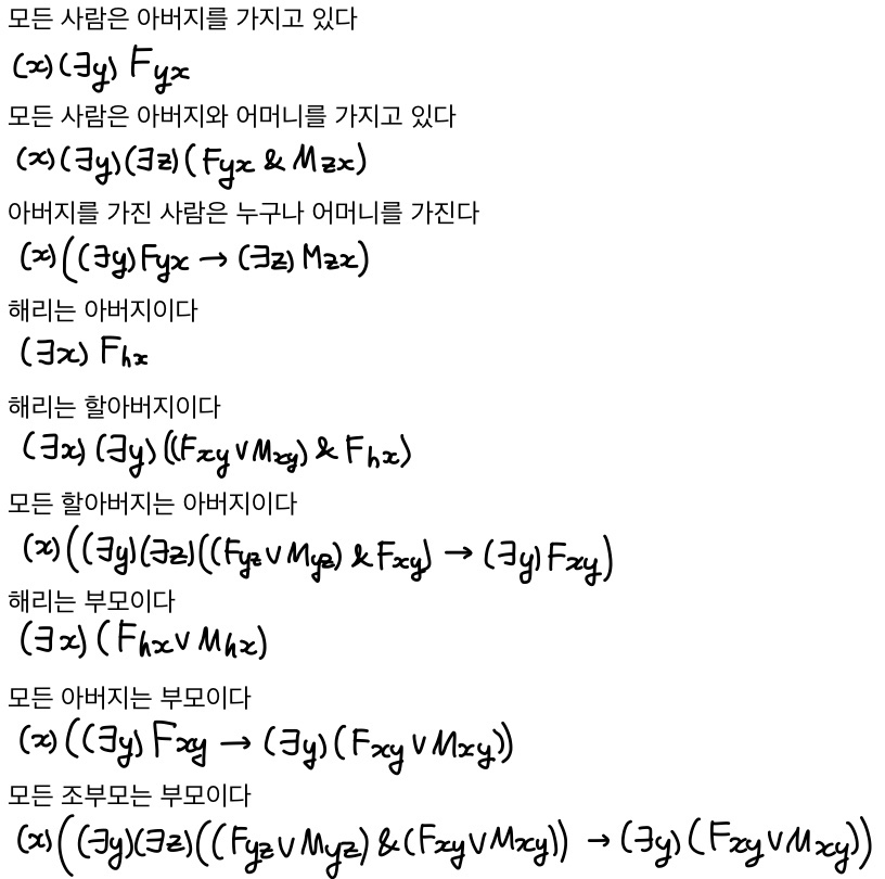
- 주어진 해석을 사용해 다음 문장들을 기호화하시오.
D=인간들의 집합
F: 1은 2의 아버지이다
M: 1은 2의 어머니이다
H: 1은 2의 남편이다
S: 1은 2의 누이(누나, 언니 혹은 여동생)이다
B: 1은 2의 형제(형, 오빠 혹은 남동생)이다
m: 메리
h: 해리
b: 윌리엄
a: 아서


2. 주어진 해석을 사용하여 다음 문장들을 기호화하시오.
D=산들과 언덕들의 집합
H: 1은 2보다 높다
M: 1은 산이다
I: 1은 2와 동일하다
E: 1은 잉글랜드에 있다
W: 1은 웨일즈에 있다
S: 1은 스코틀랜드에 있다
s: 스노우든
b: 벤 네비스


방학 때 하려 한 분량의 기호논리학 공부가 끝났다! 아직 기호논리학에서도 헷갈리는 부분이 너무 많아서 이 정도로 언어철학을 잘 들을 준비가 된 건지는 모르겠다. 그치만 적어도 이번 학기 언어철학을 들으면서 ‘기호논리학을 제대로 안 들었어서 그래’와 같은 핑계를 대며 언어철학 공부를 소홀히 한 걸 정당화하진 않겠지.. 예습 나름 한 만큼 언어철학 한 학기 동안 꼭 잘 들었으면 좋겠당 (๑•᎑•๑)